1、乙烷可以发生如下反应:CH3—CH3+Br2→CH3CH2Br+HBr,这个反应在有机化学中通常称为( )
A.消去反应 B.取代反应
C.分解反应 D.加成反应
2、一定条件下,1mol下列物质与H2发生加成,需要H2最多的是( )
A.丙炔 B.1-己烯
C.苯乙烯 D.氯乙烯
3、下列有机物不能与其它试剂发生加成反应的是( )
A.CH3CH2OH B.CH3COCH3
C.CH3CHO D.CH3CH2C≡N
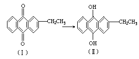
4、有机化合物I转化为II的反应类型是( )

A.氧化反应 B.取代反应
C.还原反应 D.水解反应
5、下列反应属于消去反应的是( )
A.CH4+Cl2
CH3Cl+HCl
B.CH2=CH2+HCl→CH3—CH2Cl
C.CH3—CH2Cl+NaOH
CH3CH2OH+NaCl
D.CH2Cl—CH2Cl+2NaOH
CH
CH↑+2NaCl+2H2O
6、与CH2=CH2→CH2Br—CH2Br的变化属于同一反应类型的是( )
A.CH2=CH2→C2H5OH
B.C2H5Cl→CH2=CH2
C.
D.CH3COOH→CH3COOC2H5
7、下列有机物中,能发生消去反应,又能发生取代反应和酯化反应的是( )
A.CH3CH2C(CH3)2OH
B.CH3CH2CH2CH2Cl
C.HO-CH2-CH2-COOH
D.Cl-CH2-COOH
8、下列物质中,发生消去反应生成的烯烃只有一种的是( )
A.2-氯丁烷 B.2-氯-2-甲基丙烷
C.1-氯丁烷 D.2-氯-2-甲基丁烷
9、以丙烯为原料,经三步制取甘油(CH2OH-CHOH-CH2OH),反应类型依次是( )
A.加成→取代→取代 B.取代→取代→加成
C.取代→加成→取代 D.加成→取代→加成
10、在一定条件下CH2=CHCH3不能发生的反应类型有( )
A.取代反应 B.加成反应
C.消去反应 D.加聚反应