科学测量:做直线运动物体的瞬时速度
核心素养目标
1.会使用打点计时器获得数据。
2.掌握判断物体是否做匀变速直线运动的方法。
3.能根据数据形成结论,会分析导致实验误差的原因。
4.能撰写有一定要求的实验报告,能与他人交流探究过程和结果。
5.注意提升科学推理与科学论证能力。
学习重难点
通过实验来测量做直线运动的瞬时速度,并由此判断是否做匀变速直线运动。
学习过程
必备知识•素养奠基
【实验目的】
1.测量小车的瞬时速度。
2.判断沿斜面下滑的小车是否做匀变速直线运动。
3.学习使用打点计时器。
【实验器材】
___________________(或电火花打点计时器)、__________________(或220V交流电源)、纸带、长木板(或者轨道)、U形夹、小车、毫米刻度尺。
【实验原理与设计】
1.实验原理:
(1)电磁打点计时器的测量原理:纸带穿过打点计时器在物体带动下运动时,上下振动的振针便会通过复写纸在纸带上留下一系列小点,相邻两点对应的时间为_________s。
(2)可测物理量:相邻两点之间的距离可以用_______测量,这样打点计时器既记录了时间,又记录了对应的_________。由此可获知物体运动的_________等。
2.实验设计:
(1)利用两种打点计时器。
电火花打点计时器 | 电磁打点计时器 | |
结构图示 | ||
工作电压 | ||
打点方式 | ||
打点周期 | ||
记录信息 |
(2)利用频闪照相法。
①频闪照相法:利用照相技术,每隔一定时间曝光一次,从而形成间隔相同时间的频闪照片的方法。
②频闪灯:每隔_________时间闪光一次,如每隔0.1s闪光一次,即每秒闪光10次。
③频闪照片:利用频闪灯照明,照相机可以拍摄出运动物体每隔相等_________所到达的位置,通过这种方法拍摄的照片称为频闪照片。
④记录信息:物体运动的时间和_________。
(3)瞬时速度的求法及匀变速直线运动的判断。
①利用平均速度v=
,当Δt很短时,可以近似认为平均速度
等于t时刻的_____________,利用速度和时间关系判断物体是否做匀变速直线运动。
②利用Δs=s2-s1=s3-s2=…=sn-sn-1=_______判断物体是否做匀变速直线运动。
关键能力•素养形成
【实验过程】
一、实验步骤
(1)把打点计时器固定在长木板一端,并将该端垫高,使长木板形成斜面。
(2)将长60cm左右的纸带一端穿过打点计时器,另一端固定于小车,尽量让小车靠近打点计时器。
(3)打开打点计时器开关,稍后(打点稳定后)释放小车,待小车滑到斜面底端时止住小车,关闭开关。取下纸带,安全警示检查点迹。若有问题,可换上新纸带,调试后重复上述步骤。
(4)选择点迹清晰的纸带,避开点迹密集部分,从距打点的开始端几厘米处选择一个点记为点0。在该点后面,依次标出间隔时间相等的计数点1,2,3,4,5,……
(5)根据打点计时器的周期,计算各计数点到点0对应的时间t,测量各计数点与下一相邻计数点间的距离s,将t和s的相应数据填入课本表中。
【思考·讨论】
(1)利用电火花打点计时器应注意哪些问题?为什么采用电火花打点计时器?
(2)开始实验时对小车和打点计时器有什么要求?
二、数据收集与分析
1.用逐差法求加速度
逐差法处理数据求加速度的平均值,好处是各个数据都得到了利用,达到正、负偶然误差充分抵消的作用,使计算结果更接近真实值。
2.用v-t图像求加速度:
(1)在纸带中选择一条最清晰的,舍掉开头一些比较密集的点迹,在后边便于测量的地方找一个开始点,为了测量方便和减小误差,通常选择相隔0.1s的若干计数点进行测量,在选好的第一个点下面标明0,在第六个点下面标1,在第十一个点的下面标2,依此类推,每隔4个点下面计一个数,这些标数字的点叫作计数点。如图所示,测出两相邻计数点的距离分别为s1、s2、s3…填入表中。

位置间隔 | 0~1 | 1~2 | 2~3 | 3~4 | 4~5 |
间隔距离s/m |
(2)根据测量结果,再利用匀变速直线运动的瞬时速度的求解方法,即中间时刻的瞬时速度可以用这段时间内的平均速度来求解,也就是vn=
,可求出打第n个计数点时纸带的瞬时速度,并将瞬时速度的值填入表中。
位置编号 | 1 | 2 | 3 | 4 |
时间t/s | ||||
速度v/m·s-1 |
(3)用横坐标表示时间T、纵坐标表示瞬时速度v,在坐标平面上标出(T,v1)、(2T,v2)、…各点,把这些点连接起来可画出一条直线,它就是物体运动的速度图像,从此直线的斜率就可求得物体的加速度。
【误差分析】
误差 | 产生原因 | 减小方法 |
偶然 误差 | ①纸带上计数点间隔距离的测量 ②v-t图线作出的并非一条直线 | ①多次测量求平均值 ②大多数点在线上,不在线上的点尽可能分布在线的两侧 |
系统 误差 | ①小车、纸带运动过程中有摩擦 ②电源的不稳定性 | ①使用电火花打点计时器 ②使用稳压电源 |
【思考·讨论】
(1)实验结束后,如何选取纸带?
(2)如何根据纸带判断物体是匀速运动,还是匀变速直线运动?
课堂检测·素养达标
1.(2019·三明高一检测)电磁打点计时器是一种使用交流电源的计时仪器,根据打点计时器打出的纸带,不经计算,通过测量可以从纸带上直接得到的物理量是 ( )
A.时间间隔 B.位移
C.平均速度 D.瞬时速度
【解析】选B。时间间隔通过数纸带上所打点的个数经过计算得出。位移可以通过测量纸带上所打点之间的距离得出。而平均速度或者瞬时速度都是依据实验数据通过计算得出。则B正确,A、C、D错误。
2.利用打点计时器测定物体做匀变速直线运动的加速度时,在纸带上所打的一系列点如图所示,各相邻的计数点间的距离分别为sⅠ、sⅡ、sⅢ…,则下列关系式中错误的是 ( )

A.sⅡ-sⅠ=aT2 B.sⅢ-sⅠ=2aT2
C.sⅡ-sⅠ=sⅢ-sⅡ D.sⅢ-sⅡ=![]()
【解析】选D。对于匀变速直线运动,连续相等时间间隔内的位移之差是恒量,即Δs=aT2。对于该题有sⅡ-sⅠ=sⅢ-sⅡ=aT2,而sⅢ-sⅠ=sⅢ-sⅡ+sⅡ-sⅠ=2aT2。所以选项A、B、C正确,D错误。
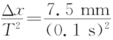
3.(2019·全国卷Ⅰ)某小组利用打点计时器对物块沿倾斜的长木板加速下滑时的运动进行研究。物块拖动纸带下滑,打出的纸带一部分如图所示。已知打点计时器所用交流电的频率为50 Hz,纸带上标出的每两个相邻点之间还有4个打出的点未画出。在A、B、C、D、E五个点中,打点计时器最先打出的是点,在打出C点时物块的速度大小为________m/s(保留3位有效数字);物块下滑的加速度大小为________m/s2(保留2位有效数字)。

【解析】物块沿倾斜的长木板加速下滑,相等时间内的间距越来越大,所以在A、B、C、D、E五个点中,打点计时器最先打出的是A点。根据纸带可知xAB=12.0 mm、xBC=19.5 mm、xCD=27.0 mm、xDE=34.5 mm,则
vC=
=232.5 mm/s=0.233 m/s。
xDE-xCD=xCD-xBC=xBC-xAB=7.5 mm,则
a=
=750 mm/s2=0.75 m/s2。
答案:A 0.233 0.75
4.(2019·泉州高一检测)如图是研究物体做匀变速直线运动时得到的一条纸带(实验中打点计时器所接低压交流电源的频率为50 Hz)。从0点后开始每5个计时点取一个计数点,依照打点的顺序依次编为0、1、2、3、4、5、6,测得s1=5.18 cm,s2=4.40 cm,s3=3.62 cm,s4=2.84 cm,s5=2.06 cm,s6=1.28cm。

(1)相邻两计数点间的时间间隔为_______s。
(2)物体的加速度大小a=_______m/s2,方向_______(选填“A→B”或“B→A”)。
(3)打点计时器打计数点3时,物体的速度大小v3=_______m/s。
【解析】(1)打两个点之间的时间间隔等于交流电源频率的倒数,即T=
=
s =0.02 s,
每5个计时点取一个计数点,
故相邻两个计数点间的时间间隔
T=5×0.02 s=0.1 s。
(2)由逐差法可得物体的加速度
a=
,
代入数据解得a=-0.78 m/s2,
负号表示物体加速度的方向,
加速度大小为0.78 m/s2。
因为是依照打点的先后顺序依次编号,
所以物体的运动方向是B→A,
而物体做匀减速直线运动,
故加速度的方向是A→B。
(3)打计数点3时物体的速度
v3=
=
m/s=0.323 m/s。
答案:(1)0.1 (2)0.78 A→B (3)0.323
【补偿训练】
在“探究小车速度随时间变化的规律”实验中,打点计时器使用的交流电源的
频率为50 Hz,记录小车运动的一段纸带如图甲所示,在纸带上选择A、B、C、
D、E、F六个计数点,相邻两计数点之间还有四个点未画出。

(1)由纸带提供的数据求出打下C、E点时小车的速度,填入表中:
计数点序号 | B | C | D | E |
计数点对应的时刻t/s | 0 | 0.1 | 0.2 | 0.3 |
通过计数点时小车 的速度v/(m·s-1) | 0.25 | 0.45 |
(2)根据表中的数据,在图乙中作出小车运动的v-t图像。

(3)根据作出的v-t图像可得小车运动的加速度为_______m/s2。
【解析】(1)根据平均速度定义可得vC=
=
=0.35 m/s,vE=
=
=0.55 m/s。
(2)画出的v-t图像应为一条倾斜直线,如图所示。

(3)由图像的斜率可求得加速度a=
=1 m/s2。
答案:(1)0.35 0.55
(2)

(3)1
5.在探究小车速度随时间变化规律的实验中,得到如图甲所示的一条记录小车运动情况的纸带,图中A、B、C、D、E为相邻的计数点,相邻计数点间的时间间隔T=0.1 s。

(1)根据纸带计算各点瞬时速度,vD=_______m/s,vC=_______m/s,vB=_______m/s。
(2)在如图乙所示的坐标系中作出小车的v-t图像,并根据图像求出a=_______。

(3)将图线延长与纵轴相交,交点的速度是______m/s,此速度的物理意义是________________。
【解析】(1)根据
=
可知
vD=
m/s=3.90 m/s
vC=
m/s=2.64 m/s
vB=
m/s=1.38 m/s
(2)作出v-t图像如图所示

根据图线斜率知a=12.60 m/s2。
(3)由图知:交点的速度为0.1 m/s,表示零时刻小车经过A点时的速度。
答案:(1)3.90 2.64 1.38
(2)见解析图 12.60 m/s2
(3)0.1 零时刻小车经过A点时的速度
【补偿训练】
如图所示,一个小球沿斜面向下运动,用每间隔
s曝光一次的频闪相机拍摄不同时刻小球位置的照片,即照片上出现的相邻两个小球的像之间的时间间隔为
s,测得小球在几个连续相等时间内位移(数据见表),则

s1/cm | s2/cm | s3/cm | s4/cm |
8.20 | 9.30 | 10.40 | 11.50 |
(1)小球在连续相邻相等时间内的位移之差________(选填“相等”或“不相等”),小球的运动性质属于______直线运动。
(2)有甲、乙两位同学计算小球加速度方法如下:
甲同学:a1=
,a2=
,a3=
,a=![]()
乙同学:a1=
,a2=
,a=![]()
你认为甲、乙哪位同学的计算方法正确?_______,加速度值为_______m/s2。
(3)图中频闪相机拍摄第二张照片的时刻小球瞬时速度为_______m/s。
【解析】(1)根据表格中位移数据可知,s4-s3=s3-s2=s2-s1=1.1 cm,则小球在连续相邻相等时间内的位移之差相等,故小球做匀加速直线运动。
(2)甲同学计算的加速度a=
=
,乙同学计算出的加速度a=
=
,很显然,甲同学的计算结果偶然误差较大,故乙同学的计算方法正确,代入数值得a=1.1 m/s2。
(3)根据匀变速直线运动的中间时刻瞬时速度公式得,
=
=
,则v=
=
=0.875 m/s。
答案:(1)相等 匀加速 (2)乙 1.1 (3)0.875